- Главная
- Техподдержка
- Статьи
- Автоматическое регулирование напольного отопления. Часть 2
Автоматическое регулирование напольного отопления. Часть 2
Зональный коммуникатор
Если рассмотреть классическую схему простого автоматического управления комбинированной системой отопления (рис. 1), в которой комнатные термостаты управляют сервоприводами термостатических клапанов коллекторных блоков, то возникает вопрос: что случится, когда все клапаны окажутся закрытыми?

Рис. 1. Регулирование комбинированной системы отопления с помощью комнатных термостатов и сервоприводов
Очевидно, что в этой ситуации откроются перепускные клапаны на контурах и теплоноситель будет циркулировать по малым циркуляционным кольцам через байпасы. При этом насосы будут расходовать электроэнергию впустую. Если же контуры не оборудованы байпасами с перепускными клапанами, то циркуляционные насосы будут работать «на закрытую задвижку», тратя энергию только на нагрев самих себя и теплоносителя в ограниченном пространстве. Циркуляционные насосы VT.RS оборудованы встроенными датчиками перегрева, которые отключат насос при нагреве обмотки статора свыше 150 °С, однако это является аварийным режимом, и его регулярное повторение всё-таки приведёт к межвитковому замыканию обмоток.
В насосно-смесительном узле VT.DUAL на этот случай предусмотрен предохранительный термостат, который отключает насос при достижении заданной пользователем температуры (от 30 до 90 °С), но у остальных узлов такого термостата нет.
Для предотвращения работы насоса «вхолостую» и «на закрытую задвижку», а также для удобной увязки работы сервоприводов с остальным оборудованием системы отопления разработан зональный коммуникатор VT.ZC8 (рис. 2).

Рис. 2. Зональный коммуникатор VT.ZC8
К коммуникатору подводятся провода от каждого комнатного термостата, и он передаёт принимаемые сигналы на соответствующий сервопривод или группу сервоприводов. При отсутствии запроса на отопление (все термостатические клапаны коллектора находятся в закрытом положении), коммуникатор отключает циркуляционный насос или теплогенератор (в зависимости от тепломеханической схемы системы).
Коммуникаторы выпускаются двух типов: для сервоприводов с питающим напряжением 24 и 220 В.

Рис. 3. Пример схемы подключения коммуникатора VT.ZC8
Назначение клеммных пар, переключателей и светодиодов в коммуникаторе следующее (рис. 3):
К1 – подача электропитания (220 В или 24 В в зависимости от модификации коммуникатора;
К2–K9 – подключение комнатных термостатов. К одному коммуникатору можно подключить восемь термостатов;
J1–J8 – переключатели передачи сигнала. В положении OFF управляющий сигнал передаётся на клеммную пару управления сервоприводами, расположенную напротив (K2–K13–C1; K3–K14–C2 и т.д.). В положении ON сигнал на клеммную пару управления сервоприводами передаётся от соседнего (расположенного cлева) термостата. Это позволяет одним термостатом управлять сразу несколькими сервоприводами. Например, на рисунке 3 сервоприводами С2, С3 и С4 управляет один термостат Т2 через клеммную пару К3, а сервоприводами С5, С6 и С7 управляет термостат Т3 через клеммную пару К6;
К10 – передаёт питание на соседний коммуникатор при объединении их в группы (рис. 4);
К11 – при объединении нескольких коммуникаторов принимает информацию о состоянии сервоприводов от соседнего коммуникатора для управления циркуляционным насосом;
К12 – управление циркуляционным насосом. При подаче команды закрытия сервоприводов на всех клеммных парах насос отключается;
К13–K20 – подключение сервоприводов термостатических клапанов коллектора;
J9–J16 – переключатели типа сервопривода. В положении OFF подключаются нормально закрытые приводы, в положении ON – нормально открытые;
К21 – передача информации о состоянии сервоприводов на соседний коммуникатор при объединении их в группы (рис. 4);
G1 – переключатель принудительного отключения насоса (ON – насос включён для управления коммуникатором; OFF – насос принудительно выключен);
S1–S8 – индикаторы горят при подаче питания на привод;
S9 – индикатор горит при подаче питания на клеммную пару K1;
S10 – индикатор горит при включённом циркуляционном насосе.

Рис. 4. Схема соединения двух коммуникаторов
Таблица 1. Основные технические характеристики коммуникатора VT.ZC8
Характеристика |
Значение для модели |
|
VT.ZC8.24 |
VT.ZC8.220 |
|
Число подключаемых сервоприводов (каналов) |
8 |
8 |
Напряжение питания, В |
24 (50 Гц) |
220 (50 Гц) |
Потребляемая мощность, В·А |
48 |
440 |
Максимальный ток коммутации по каналам, А |
0,5 |
0,5 |
Максимальное напряжение коммутации по каналам, В |
24 (50 Гц) |
220 (50 Гц) |
Минимальное сечение соединительных кабелей по каналам, мм2 |
0,5 |
0,75 |
Тип управляемых сервоприводов |
НО и НЗ |
НО и НЗ |
Максимальный ток коммутации реле насоса, А |
7 |
5 |
Максимальное напряжение коммутации реле насоса, В |
220 (50 Гц) |
220 (50 Гц) |
Тип контактов реле насоса |
Нормально открытый |
|
Ток плавкого предохранителя, А |
2 |
2 |
Минимальное сечение соединительного кабеля насоса, мм2 |
1,5 |
1,5 |
Степень защиты корпуса |
IP20 |
IP20 |
Габариты корпуса Д х Ш х Г, мм |
159 х 88 х 59 |
|
Погодозависимое регулирование
Когда речь заходит о необходимости погодного регулирования температуры теплоносителя в контуре напольного отопления, большинство хозяев относится к этому мероприятию, как к модному, но совершенно ненужному «навороту».
«Зачем мне нужен ваш контроллер? Обычные комнатные термостаты прекрасно справятся с задачей регулирования температуры воздуха в помещениях!» – вот такие возражения, как правило, выдвигает заказчик, когда проектировщик пытается включить в проект отопления погодозависимое управление контурами тёплых полов. И дело вовсе не в прижимистости и скупости – просто люди толком не понимают, что делает контроллер и каково основное отличие его работы от управления обычными комнатными термостатами.
Давайте попробуем разобраться в этом вопросе.
Когда сервопривод при срабатывании комнатного термостата перекроет подачу теплоносителя в петли тёплого пола, скорость остывания помещения можно описать экспонентой, из которой следует, что время остывания определяется выражением:
τ = β · LN · ((tв – tн)/(tх – tн)), ч,
где tx — температура помещения после остывания, °С; tв – температура помещения до начала остывания, °С; tн – температура наружного воздуха, °С; β – коэффициент аккумуляции теплоты помещением (постоянная времени), ч. Этот коэффициент представляет из себя произведение теплоёмкости расчётных слоёв ограждающих конструкций (С), участвующих в теплообмене, на их приведённое сопротивление теплопередаче (Rпр). Коэффициент аккумуляции численно равен времени остывания, при котором отношение температурных напоров между внутренней и наружной температурами до начала охлаждения и после охлаждения равно числу «e» (2,718).
Если комнатный термостат настроен на значение внутренней температуры 20 °С и имеет гистерезис 1 °С, то он перекроет петли при температуре 20,5 °С.
Для здания с кирпичными наружными стенами толщиной 640 мм и коэффициентом остекления 0,25, коэффициент аккумуляции теплоты составляет β = 60 ч. Нетрудно рассчитать, что время, за которое температура в данном помещении снизится на 1 °С (до срабатывания термостата на подачу теплоносителя) при наружной температуре 0 °С, составит:
τ = 60 · LN · ((20,5 – 0)/(19,5 – 0)) = 3 ч.
При этом температура воздуха и пола практически уравняются.
Через это время термостат даст команду на открытие клапана, и тёплый пол снова начнёт нагреваться. Допустим, конструкция тёплого пола состоит из цементно-песчаной стяжки и керамической плитки, а средний удельный тепловой поток с поверхности пола составляет 80 Вт/м2. Время, за которое пол снова нагреется с 20 до 26 °С (расчётная температура тёплого пола), можно ориентировочно рассчитать по формуле:
τпол = ∆t · (сст · Sст · δст · γст – сп · Sп · δп · γп) / (3600 · qрасч) = 6 · (880 · 1 · 0,05 · 1800 – 840 · 1 · 0,015 · 2000) / (3600 · 80) = 2,2 ч,где сст – удельная теплоёмкость стяжки (880 Дж/кг °С); сп – удельная теплоёмкость стяжки (840 Дж/кг °С); ст – удельная теплоёмкость воды (4187 Дж/кг °С); Sст, Sп – расчётная площадь стяжки и плиточного покрытия (1 м2); δст, δп – расчётная толщина стяжки (50 мм) и плиточного покрытия (15 мм); γст – удельный вес материала стяжки (1800 кг/м3); γп – удельный вес материала плиточного покрытия (2000 кг/м3).
Таким образом очевидно, что при использовании комнатных термостатов температура поверхности пола становится заметно изменяющейся величиной, и большую часть времени будет лежать вне комфортных пределов. То есть, потратив средства на создание тёплого пола, именно полноценного тёплого пола-то пользователь в итоге и не получит (рис. 5).

Рис. 5. График изменения во времени температуры пола и помещения при прерывистом отоплении
Постоянные знакопеременные нагрузки, вызванные циклическими температурными деформациями трубопроводов, снижают срок службы самих труб и могут вызвать ослабление трубных соединений. Циклический режим нагрева и охлаждения постепенно снижает прочность цементно-песчаной стяжки и неблагоприятно сказывается на качестве финишных напольных покрытий.
Если потребитель хочет получить действительно эффективную систему встроенного обогрева, адекватно и оперативно реагирующую на изменение климатических факторов, то в этом случае не обойтись без контроллера с погодозависимой автоматикой.
Контроллер VT.K200.M
Постоянное регулирование температуры теплоносителя в соответствии с изменяющейся температурой воздуха позволяет избавиться от частого включения и выключения сервоприводов на термостатических клапанах коллекторов системы тёплого пола. В этом случае комнатные термостаты выполняют только вспомогательную роль, корректируя текущую теплопотребность помещений в соответствии с желаниями пользователя.
Полностью оценить преимущества погодозависимого управления системой тёплых полов позволит контроллер VT.К200.М (рис. 6). Он не только обеспечит энергоэффективную работу напольного отопления, но и продлит ресурс безаварийной эксплуатации всей системы в целом.

Рис. 6. Контроллер VT.К200.M
По заданному графику, в котором каждой конкретной температуре наружного воздуха соответствует строго определённая температура теплоносителя, контроллер управляет аналоговым сервоприводом VT.TE3061, который в свою очередь определяет степень открытия термостатического клапана насосно-смесительного узла тёплого пола. В результате в контур тёплого пола поступает теплоноситель с температурой, которая требуется в данный момент для восполнения тепло- потерь помещений. Контроллер совместим со всеми насосно-смесительными узлами торговой марки VALTEC.
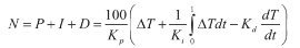
Управляющий сигнал контроллера, лежащий в диапазоне от 0 до 10 В, рассчитывается по пропорционально-интегрально-дифференциальному (ПИД) закону регулирования.
Смысл такого регулирования в следующем. Прибор вычисляет величину управляющего сигнала по формуле:

где P – пропорциональная составляющая; I – интегральная составляющая; D – дифференциальная составляющая; Kр, Ki, Kd – коэффициенты соответственно пропорциональной, интегральной и дифференциальной составляющих, определяемые прибором самостоятельно в процессе автоподстройки под конкретную систему отопления; ΔТ – невязка, равная разнице температуры уставки Тус и текущей температуры теплоносителя Т.
При пропорциональном регулировании фактическое отклонение температуры теплоносителя от уставки вызывает пропорциональное изменение управляющего сигнала.
Однако при таком регулировании значение температуры никогда не стабилизируется на уставке, и процесс превращается в колебательный с постоянными перегревами и охлаждениями. Величина этих отклонений от уставки называется «статической ошибкой». Для устранения этой ошибки контроллером учитывается интегральная составляющая (I), которая равна интегралу «невязок». Она позволяет контроллеру учитывать эту статическую ошибку.
Если система работает в стабильном режиме, то через некоторое время температура теплоносителя устанавливается на заданном значении. Однако время, за которое система достигает заданного уровня температуры, достаточно велико. Для сокращения времени выхода на уставку используется дифференциальная составляющая. Она пропорциональна темпу (скорости) изменения отклонения температуры от уставки.
ПИД-регулирование даёт возможность контроллеру оперативно устанавливать в системе требуемый уровень температуры теплоносителя при малейших колебаниях температуры наружного воздуха.
Необходимая температура теплоносителя определяется контроллером по пользовательскому температурному графику. Данный график устанавливается на стадии наладки системы отопления и определяется заданными пользователем точками (от 2 до 10).
Крайняя левая точка графика (рис. 7, точка А или С) задаёт максимальную температуру теплоносителя в системе тёплого пола, которой соответствует расчётная отрицательная температура наружного воздуха.

Рис. 7. Примеры пользовательских графиков регулирования
Максимальная температура теплоносителя тёплого пола определяется проектом системы отопления.
Крайняя правая точка (точка В или D) определяется по личностным теплоощущениям конкретного потребителя и далее корректируется на основании опыта эксплуатации.
Заводская настройка температурного графика (–30 °С/+50 °С; +15 °С/+25 °С) позволяет поддерживать достаточно комфортную температуру в помещениях с любой конструкцией тёплого пола и при любых климатических условиях.
Контроллер обладает функцией адаптивности, которая даёт возможность в процессе эксплуатации вырабатывать наиболее эффективный алгоритм работы, соответствующий конкретной системе, объекту и динамике изменения теплового режима (см. таблицу 2).
Встроенная функция ограничения температуры в контуре «тёплого пола» (+60 °С) позволяет отказаться от использования внешнего предохранительного термостата. В этом случае питание насоса подаётся через контроллер (рис. 8).
Настройка контроллера проста и занимает у пользователя не более 10–15 минут.
Благодаря наличию встроенного цифрового интерфейса RS-485 контроллер может быть внедрён в сеть диспетчеризации и контроля данных.

Рис. 8. Схема подключения контроллера VT.К200.М
Таблица 2. Основные технические характеристики контроллера VT.К200.М
Характеристика |
Значение |
Напряжение питания, В |
~90÷245 (50 Гц) |
Потребляемая мощность, В·А |
6 |
Периодичность опроса (время между двумя соседними измерениями), Δtизм, с |
1,0 |
Предел основной допускаемой приведённой погрешности, % |
±0,25 |
Диапазон напряжений выходного управляющего сигнала, В |
0÷10 |
Сопротивление нагрузки выходного сигнала, кОм |
> 2 |
Степень защиты корпуса |
IP20 |
Тип интерфейса связи |
RS-485 |
Параметры выхода ВУ1 (привод смесительного клапана) |
|
Напряжение питания, В |
24 (50 Гц) |
Максимальный ток, мА |
300 |
Мощность, Вт |
5 |
Параметры реле выхода ВУ2 (циркуляционный насос) |
|
Коммутируемое напряжение, В 220 (АС) |
220 (50 Гц) |
Максимальный ток, А |
1,0 |
Все авторские права защищены.
При копировании статьи ссылка на правообладателя и/или на сайт valtec.ru обязательна.