- Главная
- Техподдержка
- Статьи
- Расчет обогрева открытых горизонтальных площадок
Расчет обогрева открытых горизонтальных площадок

Предлагаемый алгоритм расчета обогрева открытых площадок реализован в расчетной программе VALTEC.PRG, начиная с версии 3.1.0.
1. Исходные данные для расчетов
Обогрев открытых горизонтальных площадок, как правило, решает две основные задачи:
– обеспечение таяния выпавшего снега (без образования наледи) во время снегопада.
– обеспечение таяния наносного снега (без образования наледи) при расчетной зимней температуре наружного воздуха.
В качестве исходных расчетных параметров для первого из этих случаев принимаются следующие величины:
– температура во время снегопада tс, °С;
– интенсивность снегопада, δсн, м/ч;
– интенсивность метели, δм, м3/м · ч;
– скорость ветра во время снегопада vсн, м/с;
– относительная влажность во время снегопада φс, %.
Для второго случая:
– расчетная температура наружного воздуха для отопительного периода tрз, °С;
– слой наносного снега, перенесенного ветром за 1 ч δн, м/ч;
– расчетная скорость ветра для зимнего периода vзп, м/с;
– относительная влажность при расчетной температуре наружного воздуха φзп, %.
Для обоих случаев в качестве исходных данных задаются размеры площадки (длина L, ширина B, высота до перекрытия или навеса h, м), а также высота H и схема расположения ограждений, определяющая поправочные коэффициенты Км и Когр для расчета количества попадающего на площадку снега. Коэффициент влияния метели Км может изменяться от 0,12 (для открытых площадок без ограждений и навесов) до 0,019 (для площадок с 4-сторонним экраном и навесом). Коэффициент ограждения Когр учитывает форму площадки, наличие ограждений, экранов и навесов (изменяется от 1 до 0).
Исходные данные о конструкции обогреваемой площадки должны включать в себя:
– данные о конструктивных слоях «пирога» площадки над трубами и под ними (толщины слоев δi, м, и коэффициенты теплопроводности слоев λi, Вт/м · К);
– наружный (Dн, мм) и внутренний (Dвн) диаметры греющих труб, а также коэффициент теплопроводности материала стенки трубы (λст, Вт/м · К);
– первоначально заданный шаг труб (b, м);
– тип принятого теплоносителя (плотность ρтн, кг/м3; удельная теплоемкость стн, Дж/кг · К; кинематическая вязкость νтн, м2/с);
– расчетная схема конструкции (табл.).
Таблица. Расчетная схема обогреваемой конструкции
| Расположение | Эскиз | Сферы применения |
| По грунту |
| Площадки, пандусы, дороги, поверхности подпочвенного подогрева, спортивные площадки |
| По перекрытию или покрытию |
| Эстакады, крыльца, лестницы, ступени, кровли, балконы, лоджии, террасы, козырьки |
Расчетный слой снега для первого случая (снегопад) определяется по формуле:
δс = Когр · Кразм · δсн + Км · δм/B, м/ч,
где Кразм – коэффициент ширины площадки. Для площадок шириной менее 6,0 м он равен 1, для более широких площадок Кразм = 6/В, но не менее 0,20.
Расчетный слой снега для второго случая (снегоперенос) считается по формуле:
δн = Км · δм/B, м/ч.
2. Теплотехнический расчет
2.1.Расчет требуемого удельного теплового потока с поверхности площадки
Суммарный удельный тепловой поток, проходящий через поверхность обогреваемой площадки должен обеспечить:
– нагрев расчетного количества снега от температуры воздуха до температуры плавления (qнс, Вт/м2);
– плавление расчетного количества снега (qпл, Вт/м2);
– нагрев образовавшейся воды до температуры, обусловленной проходящим через нее тепловым потоком (qнв, Вт/м2);
– компенсацию неизбежных теплопотерь на испарение воды с поверхности площадки (qисп, Вт/м2);
– компенсацию конвективных теплопотерь с поверхности площадки (qконв, Вт/м2);
– компенсацию невосполнимых теплопотерь на излучение с поверхности площадки (qрад, Вт/м2).
Отметим, что часть отданной тепловой энергии (излучение) тратится на нагрев падающего на площадку снега, т.е. является «возвращаемой». Доля невосполнимых теплопотерь может быть определена с помощью коэффициента m, определяемого по формуле:
m = 0,7 – vверт/2(vгор + vверт),
где vверт – вертикальная составляющая векторной скорости снега (можно принимать 0,25 м/с), vгор – горизонтальная составляющая векторной скорости снега, которую можно принимать равной расчетной скорости ветра: vгор = vр.
Таким образом удельный тепловой поток определяем таким образом:
qв = qнс + qпл + qнв + qисп + qконв + m · qрад, Вт/м2.
Примечание: для второго расчетного случая вместо δс в формулах используется δн.
Удельный тепловой поток, требующийся для нагрева выпавшего за один час снега от расчетной температуры наружного воздуха до температуры таяния льда:
qнс = δс· ρс · сср (0 – tр)/3600, Вт/м2,
где δс – расчетная толщина снега, попавшего на площадку, м/ч, ρс – плотность свежевыпавшего снега, 50 кг/м3, сс р – удельная теплоемкость снега при расчетной температуре. Этот показатель вычисляется по формуле В.П. Вейнберга:
сср = с0 (1 + 0,0037tр), Дж/кг · С,
где с0 – удельная теплоемкость снега при 0 С (2120 Дж/кг · К), tр – расчетная температура воздуха, С.
Удельный тепловой поток, требуемый для плавления (таяния) снега:
qпл = δс · ρс · rсплав. / 3600, Вт/м2,
где: rсплав. – удельная теплота плавления льда, 330 000 Дж/кг.
Температура поверхности площадки, обеспечивающая нагрев и плавление снега определяется из выражения:
tп.пл. = (qнс + qпл) · (δв/λв), С,
где δв – толщина слоя воды.
δв = δс · ρс /ρв, м,
λв = 0,6 Вт/м · С – коэффициент теплопроводности воды (справочно: коэффициент теплопроводности свежевыпавшего снега λс= 0,0293 Вт/м · С).
Удельный тепловой поток, требуемый для нагрева талой воды:
qнв = δс · ρс · cв · tп.пл. / 3600 · 2, Вт/м2,
где св – удельная теплоемкость воды, 4187 Дж/кг · С.
Удельный тепловой поток, компенсирующий испарение с поверхности площадки:
qисп = i · ρс · rвисп / 3600, Вт/м2,
где i – интенсивность испарения с поверхности площадки. Значение этой величины вычисляемая по формуле:
i = D · (E0 – eр) (1 + 0,4vр), м/м2·ч,
где D – удельная всасывающая сила атмосферы (коэффициент атмосферной диффузии), равная 5,8·10-5 м/кПа · ч;
E0 – упругость насыщенного водяного пара при температуре 0 С (E0 = 0,61 кПа); ер –упругость водяного пара при расчетной температуре и влажности воздуха.
eр = φр · Ер /100, кПа,
где φр – расчетная относительная влажность воздуха (%);
Ер – упругость насыщенного водяного пара при расчетной температуре воздуха. Может определяться по формуле:
где rвисп – удельная теплота испарения воды (2 500 000 Дж/кг).
В случае, когда интенсивность испарения превышает расчетный слой воды на площадке, в формуле qисп вместо i подставляется δв.
Из условий незамерзания талой воды и предотвращения образования наледи должно выполняться условие:

где в = 24,5 (Вт/м2 ·С) – коэффициент теплопередачи на границе поверхности площадки и водяного слоя.
Расчетная температура площадки tп.р. принимается большей из температур, рассчитанных из условия плавления снега (tп.пл.) и незамерзания воды (tп.нз.).
Удельный тепловой поток, компенсирующий затраты тепла на конвективный теплообмен:
qконв = [2,26 · (0 – tр)1/3 + 2,6 · vр ] · (0 – tр), Вт/м2.
Удельный тепловой поток, компенсирующий затраты тепла на лучистый теплообмен:
где – степень черноты излучающей поверхности (для снега 0,92); С0 – коэффициент излучения абсолютно черного тела 5,77 Вт/(м2 · С4).
2.2.Расчет требуемой температуры теплоносителя
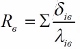
Термическое сопротивление слоев площадки над трубами, м2 · К/Вт, определяется по формуле:
Приведенное условное сопротивление теплопередаче слоев площадки над трубами:
где в.у. – условный коэффициент теплоотдачи поверхности площадки.
в.у = qв / (tп.р. – tр), Вт /м2 · К.
Приведенное термическое сопротивление слоев пола под трубами, Rн, м2 · К/Вт:
где Riz – усредненное термическое сопротивление для каждой из зон при площадке по грунту, равное 2,1 для I зоны, 4,3 для II зоны, 8,6 для III зоны, 14,2 для IV зоны.
При площадках по грунту в расчет принимаются только слои, имеющие коэффициент теплопроводности λi менее 1,2 Вт/м · К.
Для площадок по перекрытиям, покрытиям и ступеням в расчете учитываются все имеющиеся слои конструкции, а Riz принимается равным 1/23 – в случае, когда низ площадки находится на улице и может обдуваться ветром; 1/16 – когда низ площадки находится на улице и не может обдуваться ветром; 1/8,7 – когда низ площадки находится в помещении.
Приведенное термическое сопротивление стенок трубы Rтр, м2 · К/Вт, рассчитывается по формуле:
где αвн – коэффициент теплоотдачи на внутренней поверхности трубы (можно принять 400 Вт/м2 ·К).
Из двух уравнений температуры поверхности трубы:
tтр = tр + qв · Rвп (С),
tтр = tр.н. + qн · Rнп (С),
где tр.н. – расчетная температура под площадкой (при полах по грунту tр.н.= tр), можно получить выражение для теплового потока, направленного вниз.
qн = (tр – tр.н + qв · Rвп)/ Rнп, Вт/м2
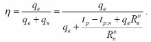
Коэффициент полезного действия системы, учитывающий потери тепла по направлению «вниз»:
Требуемая температура теплоносителя:
tтн = tп.р + qв · Rв + (qв· b · Rтр)/η.
Примечание: в знаменателе третьего слагаемого фактически присутствует безразмерная величина:
η = 1/b – количество труб на погонный метр поперечного сечения площадки.
Округлив среднюю температуру теплоносителя до приемлемой (округленной) величины, уточняется тепловой поток по направлению «вверх», Вт/м2:
Полный погонный тепловой поток определяем по формуле:
qпог = qв · b, Вт/м.
Автор: В.И. Поляков
Все авторские права защищены.
При копировании статьи ссылка на правообладателя и/или на сайт valtec.ru обязательна.