- Главная
- Техподдержка
- Статьи
- Насосно-смесительный узел VALTEC COMBIMIX. Идеология основных регулировок
Насосно-смесительный узел VALTEC COMBIMIX. Идеология основных регулировок
Насосно-смесительный узел VALTEC COMBIMIX (VT.COMBI) предназначен для поддержания заданной температуры теплоносителя во вторичном контуре (за счет подмешивания из обратной линии). При помощи этого узла также можно гидравлически увязать существующую высокотемпературную систему отопления и низкотемпературный контур теплого пола. Помимо основных органов регулирования узел также включает в себя весь необходимый набор сервисных элементов: воздухоотводчик и сливной клапан, которые упрощают обслуживание системы в целом. Термометры позволяют легко следить за работой узла без использования дополнительных приборов и инструментов.


К узлу VALTEC COMBIMIX допустимо подключать неограниченное количество веток тёплого пола суммарной мощностью не более 20 кВт. При подключении нескольких веток тёплого пола к узлу рекомендуется использовать коллекторные блоки VALTEC VTc.594 или VTc.596.
Основные органы регулировки насосно-смесительного узла:
1. Балансировочный клапан вторичного контура (позиция 2 на схеме).
Этот клапан обеспечивает смешение теплоносителя из обратного коллектора тёплого пола с теплоносителем из подающего трубопровода в пропорции, необходимой для поддержания заданной температуры теплоносителя на выходе из узла COMBIMIX.

Изменение настройки клапана осуществляется шестигранным ключом, для предотвращения случайного поворота во время эксплуатации клапан фиксируется зажимным винтом. На клапане имеется шкала со значениями пропускной способности Kvτ клапана от 0 до 5 м3/ч.
Примечание: Пропускная способность клапана хоть и измеряется в м3/ч, но не является фактическим расходом теплоносителя, проходящим через этот клапан.
2. Балансировочно-запорный клапан первичного контура (поз. 8)
При помощи данного клапана настраивается требуемое количество теплоносителя, которое будет поступать из первичного контура в узел (балансировка узла). К тому же клапан можно использовать как запорный для полного перекрытия потока. Клапан имеет регулировочный винт, при помощи которого можно задавать пропускную способность клапана. Открытие и закрытие клапана осуществляется шестигранным ключом. Клапан имеет защитный шестигранный колпачок.

3. Перепускной клапан (поз. 7)
Во время работы системы отопления может возникнуть режим, когда все регулирующие клапаны тёплого пола закрыты. В этом случае насос будет работать в заглушенную систему (без расхода теплоносителя) и быстро выйдет из строя. Для того чтобы избежать подобных режимов, на узле стоит перепускной клапан, который при полном перекрытии клапанов системы тёплого пола открывает дополнительный байпас и позволяет насосу циркулировать воду по малому контуру в холостую без потери работоспособности.

Клапан срабатывает на перепад давления, создаваемый насосом. Перепад давления, при котором клапан откроется, задаётся поворотом регулятора. Сбоку клапана есть шкала с диапазоном значений 0,2–0,6 бара. Наосы, которые рекомендуется использовать совместно с COMBIMIX, имеют максимальное давление от 0,22 до 0,6 бара.
После того как система отопления полностью собрана, опрессована пробным давлением и заполнена водой, её следует настроить. Настройка узла регулирования проводится совместно с пусконаладкой всей системы отопления. Лучше всего производить наладку узла перед началом балансировки системы.
Алгоритм настройки узла регулирования:
1. Снять термоголовку (1) или сервопривод.
Для того чтобы привод регулирующего клапана не влиял на узел во время настройки, его следует снять.

2. Выставить перепускной клапан в максимальное положение (0,6 бара).
Если перепускной клапан сработает во время настройки узла, то настройка будет некорректной. Поэтому его следует выставить в положение, при котором он не сработает.

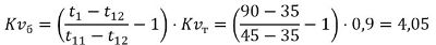
3. Настроить положение балансировочного клапана вторичного контура (поз. 2 на схеме).
Требуемую пропускную способность балансировочного клапана можно рассчитать, самостоятельно используя несложную формулу:
t1 – температура теплоносителя на подающем трубопроводе первичного контура;
t11 – температура теплоносителя на подающем трубопроводе вторичного контура;
t12 – температура теплоносителя на обратном трубопроводе (У обоих контуров совпадает);
Kvτ – коэффициент пропускной способности регулирующего клапана, для COMBIMIX принимается 0,9.
Полученное значение Kv выставляем на клапане.

Пример расчета
Исходные данные: расчётная температура подающего теплоносителя – 90 °С; расчётные параметры контура тёплого пола 45–35 °С.

Полученное значение Kv выставляем на клапане.
4. Настроить насос на требуемую скорость.
Для этого требуется рассчитать расход воды во вторичном контуре и потери давления в контурах после узла по формулам:
G2 = 3600 · Q / c · (t11 – t12), кг/ч;
ΔPн= ΔPс + 1, м вод. ст.,
где Q – сумма тепловой мощности всех петель, подключённых к COMBIMIX; с – теплоёмкость теплоносителя (для воды – 4,2 кДж/кг·°С; если используется иной теплоноситель, значение следует взять из техпаспорта этой жидкости); t11, t12 – температура теплоносителя на подающем и на обратном трубопроводе контура после узла COMBIMIX. ΔPс – потери давления в расчетном контуре теплого пола (включая коллекторы). Данную величину можно получить, выполнив гидравлический расчёт тёплого пола. Для этого можно использовать расчётную программу VALTEC.PRG.
На номограммах насосов, представленных ниже, определяем скорость насоса. Для определения скорости насоса на характеристике отмечается точка с соответствующим напором и расходом. Далее определяется ближайшая кривая выше данной точке, она и будет соответствовать требуемой скорости.


Пример
Исходные условия: теплый пола с суммарной мощностью 10 кВт, потерями давления в самой нагруженной петле 15 кПа (1,53 м вод. ст).
Расход воды во вторичном контуре:
G2 = 3600 · Q / c · (t11 – t12) = 3600 · 10 / 4,2 · (45 – 35) = 857 кг/ч (0,86 м3/ч).
Потери давления в контурах после узла COMBIMIX с запасом 1 м вод. ст.:
ΔPн= ΔPс + 1 = 1,53 + 1 = 2,53 м вод. ст.
Выбрана скорость насоса – MED по точке (0,86 м3/ч; 4,05 м вод. ст.):

Если нет возможности рассчитать насос, то данный этап можно пропустить и сразу приступить к следующему. Насос при этом выставить в минимальное положение. Если в процессе балансировки выяснится, что давления насоса не хватает, нужно переключить насос на более высшую скорость.
5. Балансировка веток теплого пола.
Закрываем балансировочно-запорный клапан первичного контура. Для этого откидываем крышку клапана и шестигранным ключом поворачиваем клапан против часовой стрелки до упора.

Задача балансировки веток тёплого пола сводится к созданию в каждой ветке требуемого расхода теплоносителя и как следствие равномерного прогрева.
Ветки между собой балансируются балансировочными клапанами или регуляторами расхода (в комплект COMBIMIX не входят, регуляторы расхода включает в себя коллекторный блок VTc.596.EMNX). Если после COMBIMIX только один контур, то ничего увязывать не нужно.
Ход балансировки следующий: балансировочные клапаны/регуляторы расходов на всех ветках тёплого пола открываются на максимум, далее выбирается ветка, у которой отклонение фактического расхода от проектного максимально. Клапан на этой ветке закрывается до нужного расхода. Таким образом, надо отрегулировать все ветки тёплого пола.
При настройке регуляторами расхода VT.FLC15.0.0 достаточно просто выставить нужный расход на шкале в л/мин поворотом ручки. Если нет возможности использовать индикатор расхода, то отбалансировать ветки можно приблизительно по прогреву полов либо по температуре обратного теплоносителя.
Если в процессе балансировки не удалось получить требуемый расход по веткам даже при открытых клапанах, это означает, что гидравлический расчёт выполнен неверно и следует переключить насос на высшую скорость.

Настройка балансировочного клапана первичного контура
Настройка балансировочного клапана первичного контура производится совместно с балансировкой всей остальной системы отопления. Суть балансировки системы отопления заключается в том, чтобы настроить расход теплоносителя через каждый отопительный прибор, включая COMBIMIX, точно по проекту. Если неправильно выполнить балансировку систем отопления, то возможна работа системы, когда часть отопительных приборов перегрета, а часть недостаточно прогрета.
Рассмотрим следующую схему системы отопления с подключённым узлом COMBIMIX. Это двухтрубная тупиковая система отопления с горизонтальной разводкой.
Под схемой изображен пьезометрический график. На графике зелёными наклонными линиями изображено падение давления в системе отопления. Прибор, находящийся ближе всего к котлу (или индивидуальному тепловому пункту), имеет больший перепад давления между прямым и обратным трубопроводом (вертикальные линии), нежели прибор, находящийся в конце системы. Оранжевым цветом на вертикальных линиях показано падение давления на приборах без учёта балансировочных клапанов, зелёным цветом показан перепад давления, который необходимо создать на клапане для того, чтобы сбалансировать систему. Чем выше перепад давления на приборе, тем больший расход при одинаковой пропускной способности через него проходит. Для того чтобы выровнять расходы теплоносителя в системе, необходимо при помощи балансировочных клапанов или регулирующих вентилей добавить сопротивление приборам, которые находятся ближе к котлу. Чем ближе прибор находится к котлу, тем большее сопротивление необходимо добавлять при помощи клапана (большее закрытие клапана). На графике видно, что клапан у первого прибора закрыт настолько, что его сопротивление в несколько раз превышает сопротивление радиатора. У последнего прибора клапан практически открыт и его сопротивление невелико.
Балансировка, как правило, сводится к поиску нужной настройки балансировочных клапанов. Существуют три основных способа проведения балансировки.
Расчётный способ заключается в том, что при гидравлическом расчёте системы отопления составляется подобный пьезометрический график для проектируемой системы отопления. Во время гидравлического расчёта определяются требуемые потери давления на каждом балансировочном клапане. Далее по следующей формуле определяется пропускная способность клапана:
kv = V /√ΔP, м3/ч,
где V – объёмный расход теплоносителя, м3/ч; ΔP – требуемая потеря давления на клапане, бар.
После расчёта пропускной способности по рекомендациям производителей балансировочной арматуры наладчик выставляет на каждом клапане проектное значение пропускной способности. Гидравлический расчёт должен производить квалифицированный специалист «в ручную» или при помощи специализированных программ, например программы расчета инженерных систем VALTEC.PRG.
Пример
Для начала определим требуемый расход теплоносителя в первичном контуре. Для этого можно использовать следующую формулу:
G2 = 3600 · Q /c · (t1 – t2),
где Q – сумма тепловой мощности всех приборов, подключённых после COMBIMIX; с – теплоёмкость теплоносителя (для воды – 4,2 кДж/кг·°С; если используется иной теплоноситель, значение следует взять из техпаспорта этой жидкости); t1, t2 – температура теплоносителя на подающем и обратном трубопроводе первичного контура (температуры теплоносителя в обратном трубопроводе первичного и вторичного трубопровода совпадают).
Для тёплого пола с суммарной мощностью 10 кВт с расчётной температурой подающего теплоносителя 90 °С, расчетными параметрами контура тёплого пола 45–35 °С расход теплоносителя в первичном контуре будет следующим:
G2 = 3600 · Q /c · (t1 – t2) = 3600 · 10 / 4,2 · (90 – 35) = 155,8 кг/ч.
При расчёте проектировщик определил, что потеря давления на балансировочном клапане узла должна составлять 9 кПа (0,09 бара), для того чтобы расход теплоносителя в первичном контуре составил 0,159 м3/ч, kv клапана должно быть:
kv = 0,159 /√0,09 = 0,53 м3/ч.
Далее по характеристике балансировочного клапана первичного контура, приведённой ниже, определяется количество оборотов регулировочного винта.
Для определения количества оборотов можно не считать kv а воспользоваться номограммой приведённой ниже. Для этого надо отложить на графике требуемый расход через первичный контур и требуемую потерю давления на клапане. Ближайшая наклонная линия будет соответствовать требуемой настройке (количеству оборотов). Для повышения точности можно интерполировать полученные значения.

В первой строке таблицы указана позиция, во второй строке таблицы указано количество оборотов регулировочного винта. (В данном примере 2 и ¼.) В третьей строке указан Kv для данной настройки, как видно оно практически совпадает с расчётным.
Выставление оборотов на клапане:
Правильная настройка клапана должна идти от положения полного закрытия клапана, при помощи тонкой отвёртки с плоским шлицем закручиваем регулировочный винт до упора и ставим метку на клапане и на отвёртке.
По таблице настройки клапана, поворачиваем винт на требуемое количество оборотов. Для фиксации оборотов использовать метки на клапане и отвёртке. (по примеру необходимо сделать 2 и ¼ оборота).
При помощи шестигранного ключа открыть клапан до упора. Клапан откроется ровно настолько, насколько сколько вы сделали оборотов отвёрткой. После настройки клапан при помощи шестигранного ключа можно открывать и закрывать, настройка пропускной способности при этом сохраниться.
Таким же образом производится расчёт всех остальных балансировочных клапанов системы отопления. Количество оборотов клапанов (или настроечная позиция определяются по методикам производителей балансировочной арматуры).
Второй способ балансировки системы заключается в том, что настройки всех клапанов выставляются «по месту». При этом настроечные значения определяются исходя из реально замеренных расходов теплоносителя по отельным веткам или системам.
Данный способ используют, как правило, при настройке больших или ответственных систем отопления. Во время балансировки используются специальные приборы – расходомеры, при помощи которых можно замерять расход по отдельным направлениям, не вскрывая трубопровод. Также часто используются балансировочные клапаны со штуцерами и специальные манометры для замера перепада давления, по которому также можно определить расход на отдельных участках. Недостаток данного метода заключается в том, что приборы, предназначенные для замеров расхода слишком дороги для разового или нечастого использования. Для маленьких систем стоимость приборов может превышать стоимость самой системы отопления.
Пори балансировке данным методом COMBIMIX настраивается следующим образом:
Зафиксировать расходомер на трубопроводе, через который COMBIMIX подключён к системе отопления. Откалибровать и настроить расходомер согласно инструкции на расходомер.
После плавно приоткрывать балансировочный клапан при помощи шестигранного ключа, фиксируя при этом изменение расхода теплоносителя. Как только расход теплоносителя будет соответствовать проекту зафиксировать положение клапана при помощи настроечного винта.
Пример
Как и для предыдущего примера сначала рассчитывается расход теплоносителя.
Для тёплого пола с суммарной мощностью 10 кВт, расчётной температурой подающего теплоносителя 90 °С, расчётными параметрами контура тёплого пола 45–35 °С расход теплоносителя в первичном контуре будет следующим:
G2 = 3600 · Q /c · (t1 – t2) = 3600 · 10 / 4,2 · (90 – 35) = 155,8 кг/ч (0,159 м3/ч).
Закрыть полностью балансировочный клапан при помощи шестигранника:
Плавно открывать клапан при помощи шестигранника при этом фиксировать расход на расходомере до тех пор, пока расход достигнет проектного (в примере 0,159 м3/ч).
После того, как расход теплоносителя установится, – зафиксировать положение запорного клапана при помощи регулировочного винта (закрутить по часовой стрелке регулировочный винт до упора).
После того, как регулировочный винт зафиксирован клапан можно открывать и закрывать при помощи шестигранника, настройка при этом не собьётся.
Для маленьких систем при отсутствии проекта и сложных приборов измерения допустим следующий способ балансировки:
В готовой системе включают котёл и центральный насос (или другой источник теплоснабжения), далее закрывают все балансировочные краны на всех отопительных приборах или ветках. После этого определяется отопительный прибор, который установлен дальше всего от котла (источника теплоснабжения). Балансировочный клапан в этом приборе открывается полностью, после того, как прибор полностью прогреется необходимо замерить перепад температур теплоносителя до и после прибора. Условно можно принять, что температура теплоносителя равна температуре трубопровода. После переходим к следующему отопительному прибору и плавно открываем балансировочный клапан пока перепад температур прямого и обратного трубопровода не будет совпадать с первым прибором. Данную операцию повторить со всеми отопительными приборами. Когда очередь дойдёт до узла COMBIMIX, то его наладку следует проводить следующим образом: Если температура теплоносителя в подающем трубопроводе равна проектной то следует плавно открывать балансировочный клапан первичного контура до тех пор, пока показания на термометрах подающего и обратного трубопроводах вторичного контура не станут равны проектным ±5 °С.
Если температура теплоносителя в подающем трубопроводе во время наладки системы отличается от проектной, то можно использовать следующую формулу для пересчёта:
где температуры с индексом «П» – проектные, а температуры с индексом «Н» – настроечные (используемые для настройки) значения.

Пример
Рассмотрим следующую систему отопления:
Для начала закрываются все балансировочные клапаны.
Выбирается отопительный прибор, который находится дальше всего от котла. В данном случае это самый правый радиатор. Балансировочный клапан у радиатора открывается полностью. После прогрева радиатора фиксируется температура прямого и обратного трубопровода.
По примеру – после открытия клапана температура на подающем трубопроводе установилась 70 °С, температура на обратном трубопроводе установилась 55 °С.
После берётся второй прибор по удалённости от котла. Балансировочный клапан на этом приборе открывается до тех пор пока температура на обратном трубопроводе не будет равна температуре первого ±5 °С.
Настройка COMBIMIX: расчётная температура подающего теплоносителя – 90 °С; расчётные параметры контура тёплого пола – 45–35 °С. Фактические показания, снимаемые с термометров: температура подающего теплоносителя – 70 °С.
По формуле определяем температуру теплоносителя в подающем трубопроводе вторичного контура:
Определяем температуру теплоносителя в обратном трубопроводе вторичного контура:
Открываем балансировочный клапан вторичного контура до тех пор, пока температуры на термометрах COMBIMIX не совпадут с расчётными ± 5°С.
Зафиксировать положение запорного клапана при помощи регулировочного винта (закрутить по часовой стрелке регулировочный винт до упора).
После того, как регулировочный винт зафиксирован клапан можно открывать и закрывать при помощи шестигранника, настройка при этом не собьётся.Далее произвести настройку всех оставшихся балансировочных клапанов аналогичным способом.
Настройка перепускного клапана
Настроить перепускной клапан можно двумя способами:
- Если известно сопротивление самой нагруженной ветки тёплого пола, то это значение следует выставить на перепускном клапане.
2. Если потеря давления на самой нагруженной ветке неизвестна, то можно определить уставку перепускного клапана по характеристике насоса.
Значение давления клапана выставляется на 5–10 % меньше, чем максимальное давление насоса при выбранной скорости. Максимальное давление насоса определяется по характеристике насоса.
Перепускной клапан должен открываться при приближении работы насоса к критической точке, когда отсутствует расход воды и насос работает только на нагнетание давления. Давление в данном режиме можно определить по характеристике.
Пример определения настроечного значения перепускного клапана.
В данном примере видно, что насос в случае отсутствия движения воды на первой скорости имеет давление 3,05 м вод. ст. (0,3 бара), точка 1; на средней скорости – 4,5 м вод. ст. (0,44 бара), точка 2; и на максимальной 5,5 м вод. ст. (0,54 бара), точка 3.
6. Завершающий этап
После настройки всех органов узла COMBIMIX следует одеть обратно термоголовку регулирующего клапана, убедиться в работоспособности регулирующего клапана. Закрыть крышку балансировочного клапана первичного контура. Узел готов к эксплуатации.
Наладка систем отопления является одной из самых сложных инженерных задач. Насосно-смесительный узел VALTEC COMBIMIX позволяет упростить данную задачу. Данный узел это уже готовое комплексное решение организации контура тёплого пола в системах отопления. Продуманная комплектация узла позволяет исключить ошибки при конструировании той или иной системы. Гибкость настройки узла позволяет производить наладку систем тёплого пола без использования специальных приспособлений.
Все авторские права защищены.
При копировании статьи ссылка на правообладателя и/или на сайт valtec.ru обязательна.